时间:2018-11-14
作者:海洋之神590官网入口
点击量:
简介:
DRL26C 树木生长监测仪用于监测树干的生长微转变,,,,,使树的生长与水分关系的研究变得更容易和更准确。。。。。传感器为不锈钢和防紫外线塑料制作,,,,,结实耐用,,,,,适合恒久监测,,,,,无须外接电池或太阳能板,,,,,内置锂电池和数据收罗器,,,,,可纪录50000个数据,,,,,通过红外数据输出。。。。。仪用具有较高的区分率,,,,,可准确丈量1微米茎杆的微转变,,,,,为研究树木在白天,,,,,夜晚等天气条件差别下的生长提供主要数据依据。。。。。

主要特点:
手艺参数:

?植物心理生态专业数据下载剖析软件,,,,,可举行数据下载、数据在线视察、柱状图、数据修复、统计剖析(如每小时平均、逐日平均、总计、最小值、最大值、数据相关剖析、回归剖析)与图表展示及系统设置等

?可选配MicroLog三通道土壤监测仪,,,,,实时、一连、原位监测土壤水分、温度、水势的转变

?推荐系统:树木心理生态系统,,,,,同时对多棵树木举行实时在线监测,,,,,收罗纪录树木生长、树皮温度(阴面和阳面)、树干茎流等三个心理指标的数据

应用案例
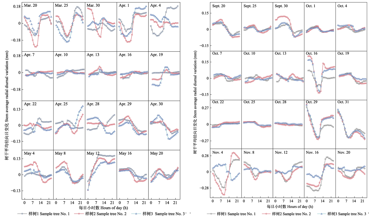
左图:3月20日–5月20日河北塞罕坝樟子松径向日动态转变;;;;;;;右图:9月20日–11月20日河北塞罕坝樟子松径向日动态变,,,,,引自北京大学生态研究中心2020年《植物生态学报》研究论文
产地:捷克
参考文献
1.Augustaitis, A. (2021). Intra-Annual Variation of Stem Circumference of Tree Species Prevailing in Hemi-Boreal Forest on Hourly Scale in Relation to Meteorology, Solar Radiation and Surface Ozone Fluxes. Atmosphere 12, 1017.
2.Bu?ková, R., Acosta, M., Da?enová, E., Pokorn?, R., and Pavelka, M. (2015). Environmental factors influencing the relationship between stem CO2 efflux and sap flow. Trees 29, 333–343.
3.Dolezal, J., Kopecky, M., Dvorsky, M., Macek, M., Rehakova, K., Capkova, K., Borovec, J., Schweingruber, F., Liancourt, P., and Altman, J. (2019). Sink limitation of plant growth determines tree line in the arid Himalayas. Functional Ecology 33, 553–565.
4.Forner, A., Valladares, F., Bonal, D., Granier, A., Grossiord, C., and Aranda, I. (2018). Extreme droughts affecting Mediterranean tree species’ growth and water-use efficiency: the importance of timing. Tree Physiology 38, 1127–1137.
5.Jamnická, G., Kon?pková, A., Fleischer, P., Kurjak, D., Petrík, P., Petek-Petrik, A., Húdoková, H., Homolová, Z., Je?ík, M., and Ditmarová, ?. (2020). Physiological vitality of Norway spruce (Picea abies L.) stands along an altitudinal gradient in Tatra National Park. Central European Forestry Journal 66.
6.Je?ík, M., Bla?enec, M., Mezei, P., Sedmáková, D., Sedmák, R., Fleischer, P., Fleischer, P., Bo?e?a, M., Kurjak, D., St?elcová, K., et al. (2021). Influence of weather and day length on intra-seasonal growth of Norway spruce (Picea abies) and European beech (Fagus sylvatica) in a natural montane forest. Can. J. For. Res. 51, 1799–1810.
7.Le?tianska, A., Fleischer, P., Mergani?ová, K., Fleischer, P., and St?elcová, K. (2020a). Influence of Warmer and Drier Environmental Conditions on Species-Specific Stem Circumference Dynamics and Water Status of Conifers in Submontane Zone of Central Slovakia. Water 12, 2945.
8.Le?tianska, A., Fleischer, P., Fleischer, P., Mergani?ová, K., and St?elcová, K. (2020b). Interspecific variation in growth and tree water status of conifers under water-limited conditions. Journal of Hydrology and Hydromechanics 68, 368–381.
9.Maicher, V., Sáfián, S., Murkwe, M., Delabye, S., Przyby?owicz, ?., Potock?, P., Kobe, I.N., Jane?ek, ?., Mertens, J.E.J., Fokam, E.B., et al. (2020). Seasonal shifts of biodiversity patterns and species’ elevation ranges of butterflies and moths along a complete rainforest elevational gradient on Mount Cameroon. Journal of Biogeography 47, 342–354.
10.Nalevanková, P., Je?ík, M., Sitková, Z., Vido, J., Le?tianska, A., and St?elcová, K. (2018). Drought and irrigation affect transpiration rate and morning tree water status of a mature European beech (Fagus sylvatica L.) forest in Central Europe. Ecohydrology 11, e1958.
11.Obojes, N., Meurer, A., Newesely, C., Tasser, E., Oberhuber, W., Mayr, S., and Tappeiner, U. (2018). Water stress limits transpiration and growth of European larch up to the lower subalpine belt in an inner‐alpine dry valley. The New Phytologist 220, 460.
12.Qian-Wen, J.I., Cheng-Yang, Z., Lei, Z., and Fa-Xu, Z. (2020). Stem radial growth dynamics of Pinus sylvestris var. mongolica and their relationship with meteorological factor in Saihanba, Hebei, China. Chinese Journal of Plant Ecology 44, 257.
13.Raffelsbauer, V., Spannl, S., Pe?a, K., Pucha-Cofrep, D., Steppe, K., and Br?uning, A. (2019). Tree Circumference Changes and Species-Specific Growth Recovery After Extreme Dry Events in a Montane Rainforest in Southern Ecuador. Frontiers in Plant Science 10.
14.?eháková, K., ?apková, K., Altman, J., Dan?ák, M., Majesk?, ?., and Dole?al, J. (2021). Contrasting Patterns of Soil Chemistry and Vegetation Cover Determine Diversity Changes of Soil Phototrophs Along an Afrotropical Elevation Gradient. Ecosystems 1–17.
15.Szymczak, S., H?usser, M., Garel, E., Santoni, S., Huneau, F., Knerr, I., Trachte, K., Bendix, J., and Br?uning, A. (2020). How Do Mediterranean Pine Trees Respond to Drought and Precipitation Events along an Elevation Gradient? Forests 11, 758.
16.Vospernik, S., Nothdurft, A., and Meht?talo, L. (2020). Seasonal, medium-term and daily patterns of tree diameter growth in response to climate. Forestry: An International Journal of Forest Research 93, 133–149.
17.Winters, G., Otieno, D., Cohen, S., Bogner, C., Ragowloski, G., Paudel, I., and Klein, T. (2018). Tree growth and water-use in hyper-arid Acacia occurs during the hottest and driest season. Oecologia 188, 695–705.
西安研发中心
微信公众号
营业咨询
微信号
海洋之神590官网入口公司
微信公众号
海洋之神590官网入口公司
视频号
联系海洋之神590官网入口:
地址: 北京市海淀区高里掌路3号院6号楼1单位101B
电话: 010-82611269/1572
手机: 13671083121
传真: 010-62465844
Email: info@eco-tech.com.cn
友情链接:
