要害词:天气转变(天气变暖),,,,,,,土壤呼吸,,,,,,,土壤微生物功效
土壤对极端天气事务的响应在未来将会变得越来越主要,,,,,,,由于天气转变预计会爆发更频仍和严重的洪水与干旱情形,,,,,,,使土壤多次履历干燥和湿润循环,,,,,,,这些极端事务将在全球变暖的配景下爆发。。。。。。变暖可能会增添土壤呼吸,,,,,,,增添从土壤到大气的二氧化碳通量,,,,,,,从而爆发正反响。。。。。。相识土壤微生物群落对变暖的响应可以提高展望天气转变对土壤呼吸和生态历程影响的能力。。。。。。
基于上述思量,,,,,,,Adetunji等人设计了一个实验序列,,,,,,,用于研究升温顺覆土作物条件下土壤微生物对干湿循环的响应及转变,,,,,,,相关历程和效果见下。。。。。。

左图和中图为田间OTCs(Open Top Chambers),,,,,,,用于表层土壤升温;;;;;;右图体现升温情形
轮作谷物包括冬小麦、冬大麦、冬燕麦,,,,,,,覆土作物包括比照组(无覆土作物)、荞麦、三叶草、油萝卜、向日葵以及这四种作物的混和物。。。。。。

左图为对土壤样品举行干旱与再湿润重复处置惩罚;;;;;;右图为实验设计及实验室干湿循环模拟土壤呼吸数据
如上图所示,,,,,,,在从所有地块收罗的土壤中,,,,,,,更多的干/湿循环导致CO2通量的峰值更早,,,,,,,最大叫吸速率更高,,,,,,,累积的基质诱导呼吸更大。。。。。。

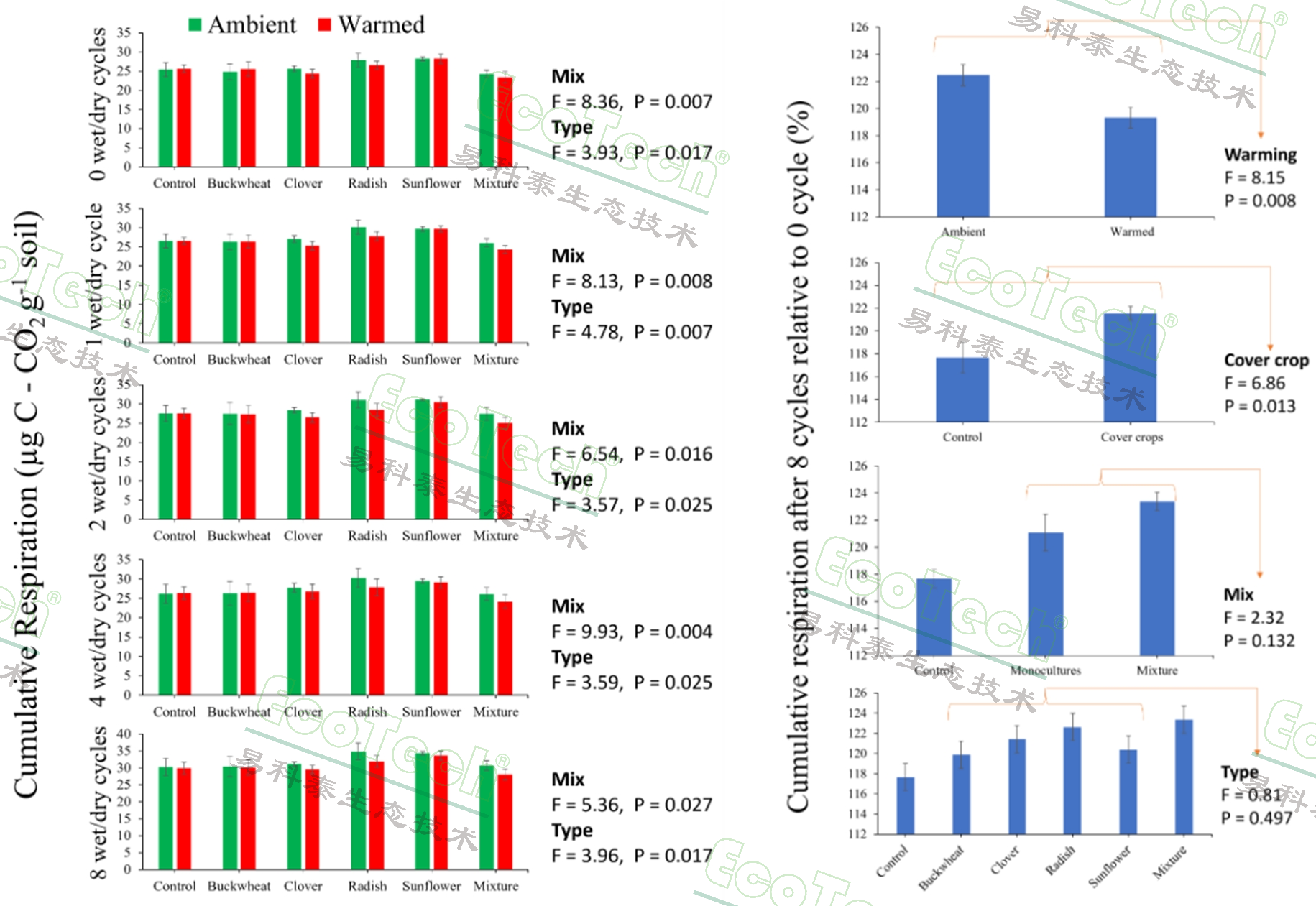
左图,,,,,,,经由0、1、2、4或8个干湿循环后,,,,,,,未莳植覆土作物(比照)、覆土作物简单莳植(荞麦、三叶草、萝卜和向日葵)或4种覆土作物混淆物的土壤中累积的基质诱导微生物呼吸;;;;;;右图,,,,,,,统计因素(变暖、覆土作物、混淆和类型)对8个湿/干循环后累积基质诱导的微生物呼吸的影响
由左图可以看出变温暖覆土作物对累积呼吸没有显著影响,,,,,,,但覆土作物多样性(混淆)和物种(类型)对每个周期的土壤都有显著影响。。。。。。由右图可以看出与0个干湿循环相比,,,,,,,8个干湿循环后,,,,,,,变暖显著降低了累积呼吸增添的水平,,,,,,,然而,,,,,,,与0个干湿循环相比,,,,,,,覆土作物显著增添了8个重复干湿循环后累积呼吸增添的水平。。。。。。

覆土作物使土壤pH值显著降低

* = p < 0.05; ** = p < 0.01; *** = p < 0.001
统计因素(变暖、笼罩作物、混淆和类型)对土壤性子的影响,,,,,,,其中Extractable NO3-和Total Extractable N由流动剖析仪获得
以上内容引自Adekanmbi, A. A. et al. Legacy of warming and cover crops on the response of soil microbial function to repeated drying and rewetting cycles. Preprint at https://doi.org/10.1101/2023.12.21.571204 (2023).
海洋之神590官网入口提供如下相关手艺计划:
西安研发中心
微信公众号
营业咨询
微信号
海洋之神590官网入口公司
微信公众号
海洋之神590官网入口公司
视频号
联系海洋之神590官网入口:
地址: 北京市海淀区高里掌路3号院6号楼1单位101B
电话: 010-82611269/1572
手机: 13671083121
传真: 010-62465844
Email: info@eco-tech.com.cn
友情链接:
