¸ÊËàũҵ´óѧÑо¿ÍŶÓÔÚ¡¶Forests¡·½ÒÏþÑо¿Ð§¹û£¨Haixia HuangµÈ£¬£¬£¬£¬£¬£¬£¬2023Ä꣩£¬£¬£¬£¬£¬£¬£¬ÏµÍ³Ì½ÌÖÁËÄ£Äâ½µÓêת±ä¶ÔÕäÏ¡æÝÒÅÖ²ÎïÂã¹ûľ£¨Gymnocarpos przewalskii£©¹âºÏÌØÕ÷Ó뿹Ñõ»¯ÏµÍ³µÄÓ°Ïì¡£¡£¡£¡£¡£ÔÚ¸ÃÑо¿ÖУ¬£¬£¬£¬£¬£¬£¬º£ÑóÖ®Éñ590¹ÙÍøÈë¿Ú¹âºÏ±íÐÍÕÉÁ¿¼Æ»®µÄÓ¦Ó㬣¬£¬£¬£¬£¬£¬Îª¾«×¼ÆÊÎöɳÉúÖ²Îï¶Ô½µË®×ª±äµÄ˳ӦսÂÔÌṩÁËÒªº¦ÊÖÒÕÖ§³Ö¡£¡£¡£¡£¡£

Âã¹ûľ×÷ΪµÚÈý¼Í²ÐÒÅÎïÖÖ£¬£¬£¬£¬£¬£¬£¬Ö÷ÒªÂþÑÜÓÚÖйúÎ÷±±É³Ä®µØÇø£¬£¬£¬£¬£¬£¬£¬¶Ôά³Ö»ÄÔÉú̬ƽºâ¾ßÓÐÖ÷Òª×÷Óᣡ£¡£¡£¡£Ëæ×ÅÈ«ÇòÌìÆø×ª±ä¼Ó¾ç£¬£¬£¬£¬£¬£¬£¬Î÷±±¸ÉºµÇø½µË®ÃûÌò¨¶¯ÏÔÖø£¬£¬£¬£¬£¬£¬£¬Ã÷È·¸ÃÎïÖÖµÄË®·Ö˳Ӧ»úÖÆ¶ÔÉú̬±£»£»£»£»£»¤ÖÁ¹ØÖ÷Òª¡£¡£¡£¡£¡£
Ñо¿ÉèÖà 5 ¸ö½µÓêÌݶȣ¨»ù×¼Öµ±15%¡¢±30% ¼°»ù×¼Öµ£©£¬£¬£¬£¬£¬£¬£¬½ÓÄɺ£ÑóÖ®Éñ590¹ÙÍøÈë¿Ú¹âºÏ±íÐͼƻ®²â¶¨Âã¹ûľÓ×ÃçµÄ¾»¹âºÏËÙÂÊ¡¢ÕôÌÚËÙÂÊµÈÆøÌå½»Á÷²ÎÊý£¬£¬£¬£¬£¬£¬£¬²¢Í¨¹ý¹âÏìÓ¦ÇúÏ߯ÊÎö»ñµÃ±í¹ÛÁ¿×ÓЧÂÊ¡¢×î´ó¹âºÏËÙÂʵȽ¹µãÖ¸±ê¡£¡£¡£¡£¡£Ð§¹ûÏÔʾ£¬£¬£¬£¬£¬£¬£¬½µÓêÔöÌíÏÔÖøÌáÉýÂã¹ûľ¾»¹âºÏËÙÂʺÍÕôÌÚËÙÂÊ£¬£¬£¬£¬£¬£¬£¬¶ø½µÓêïÔÌʱ£¬£¬£¬£¬£¬£¬£¬¾»¹âºÏËÙÂÊϽµÓÉÆø¿×ÏÞÖÆ£¨ïÔÌ 15%£©ºÍ·ÇÆø¿×ÏÞÖÆ£¨ïÔÌ 30%£©ÅäºÏµ¼Ö£¬£¬£¬£¬£¬£¬£¬Í¬Ê±Ò¶Æ¬Ë²Ê±Ë®·ÖʹÓÃЧÂÊÏÔÖøÌá¸ß¡£¡£¡£¡£¡£

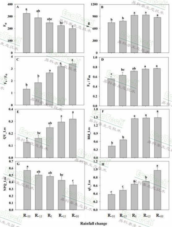
ͼ1. ½µÓêת±ä¶ÔÂã¹ûľҶƬ¹âºÏÌØÕ÷²ÎÊýµÄÓ°Ïì

ͼ 2. ½µÓêת±äϵĹâÏìÓ¦ÇúÏߣ¨Pn–PAR£©
±í 1. ²î±ð½µÓê´¦Öóͷ£ÏÂÂã¹ûľҶƬµÄ¹âÏìÓ¦²ÎÊý

º£ÑóÖ®Éñ590¹ÙÍøÈë¿Ú¹âºÏ±íÐͼƻ®ÖеÄÒ¶ÂÌËØÓ«¹â³ÉÏñϵͳÔò¾«×¼²¶»ñÁ˽µÓêת±ä¶ÔÂã¹ûľ¹âϵͳ II£¨PSII£©¹¦Ð§µÄÓ°Ïì¡£¡£¡£¡£¡£Êý¾ÝÅú×¢£¬£¬£¬£¬£¬£¬£¬½µÓêïÔ̵¼ÖÂÒ¶ÂÌËØº¬Á¿Ï½µ£¬£¬£¬£¬£¬£¬£¬PSII ×î´ó¹â»¯Ñ§Ð§ÂʺÍÎÈ̬¹âѧÁ¿×ÓЧÂʽµµÍ£¬£¬£¬£¬£¬£¬£¬Òý·¢Ã÷ÏÔ¹âÒÖÖÆ£»£»£»£»£»¶ø½µÓêÔöÌíÔòÏÔÖø¸ÄÉÆÁËÕâЩӫ¹â²ÎÊý¡£¡£¡£¡£¡£Í¨¹ýÏà¹ØÐÔÆÊÎö£¬£¬£¬£¬£¬£¬£¬Ó«¹â²ÎÊýÓë¹âºÏ²ÎÊý·ºÆðÏÔÖø¹ØÁª£¬£¬£¬£¬£¬£¬£¬Ö¤ÊµÁËË®·ÖÌõ¼þ¶Ô¹âºÏ»ú¹¹¹¦Ð§µÄÖ±½Óµ÷¿Ø×÷Óᣡ£¡£¡£¡£
±ðµÄ£¬£¬£¬£¬£¬£¬£¬½µÓêïÔÌ 30% ʱ£¬£¬£¬£¬£¬£¬£¬Âã¹ûľҶƬÖг¬ÑõÒõÀë×Ӻ͹ýÑõ»¯Çâ´ó×Ú»ýÀÛ£¬£¬£¬£¬£¬£¬£¬Òý·¢Ä¤Ö¬¹ýÑõ»¯ËðÉË£»£»£»£»£»¶ø³¬Ñõ»¯ÎïÆç»¯Ã¸¡¢¹ýÑõ»¯ÎïøºÍ¹ýÑõ»¯Çâø»îÐÔͬ²½ÔöÇ¿£¬£¬£¬£¬£¬£¬£¬Ðͬɨ³ý»îÐÔÑõ£¬£¬£¬£¬£¬£¬£¬»º½â¹âºÏ»ú¹¹ËðÉË¡£¡£¡£¡£¡£ÕâÒ»¿¹Ñõ»¯·ÀÓù»úÖÆµÄÕ¹ÏÖ£¬£¬£¬£¬£¬£¬£¬ÎªÃ÷ȷɳÉúÖ²ÎïµÄ¿¹ºµÕ½ÂÔÌṩÁËÖ÷ÒªÒÀ¾Ý¡£¡£¡£¡£¡£

ͼ 3. ½µÓêת±äÏÂÂã¹ûľҶƬҶÂÌËØÓ«¹â²ÎÊýµÄת±ä

±í 2. ¹âÏìÓ¦ÇúÏßÌØÕ÷²ÎÊýÓëÓ«¹â²ÎÊýÖ®¼äµÄÏà¹ØÐÔ
¹âºÏÒÇÓëÒ¶ÂÌËØÓ«¹â³ÉÏñµÄÐͬӦÓ㬣¬£¬£¬£¬£¬£¬ÊµÏÖÁË´ÓÆøÌå½»Á÷µ½¹âºÏ»ú¹¹ÄÚ²¿¹¦Ð§µÄÈ«·½Î»¼à²âÏ¢ÕùÎö£¬£¬£¬£¬£¬£¬£¬ÎªÁ¿»¯½µÓêת±ä¶ÔÖ²ÎïÐÄÀíÌØÕ÷µÄÓ°ÏìÌṩÁ˿ɿ¿ÊÖÒÕÊֶΡ£¡£¡£¡£¡£¸ÃÑо¿Ð§¹û²»µ«ÆÊÎöÁËÂã¹ûľ¶Ô½µË®×ª±äµÄ˳Ӧ»úÖÆ£¬£¬£¬£¬£¬£¬£¬Ò²ÎªÎ÷±±¸ÉºµÇø»ÄÔÖ²Îï×ÊÔ´±£»£»£»£»£»¤¡¢Éú̬ϵͳÐÞ¸´ÌṩÁË¿ÆÑ§Ö§³Ö¡£¡£¡£¡£¡£



×óͼ FluorTron®Ò¶ÂÌËØÓ«¹â³ÉÏñ´óÌï¼à²â£»£»£»£»£»ÖÐͼ£ºÒ¶ÂÌËØÓ«¹â³ÉÏñ£»£»£»£»£»ÓÒͼ£ºÒ¶ÂÌËØÓ«¹â¹âÆ×¶¯Ì¬£¨EcoTech® ʵÑéÊÒÌṩ£©
Î÷°²Ñз¢ÖÐÐÄ
΢ÐŹ«ÖÚºÅ
ÓªÒµ×Éѯ
΢ÐźÅ
º£ÑóÖ®Éñ590¹ÙÍøÈë¿Ú¹«Ë¾
΢ÐŹ«ÖÚºÅ
º£ÑóÖ®Éñ590¹ÙÍøÈë¿Ú¹«Ë¾
ÊÓÆµºÅ
ÁªÏµº£ÑóÖ®Éñ590¹ÙÍøÈë¿Ú£º
µØÖ·: ±±¾©Êк£µíÇø¸ßÀïÕÆÂ·3ºÅÔº6ºÅÂ¥1µ¥Î»101B
µç»°: 010-82611269/1572
ÊÖ»ú: 13671083121
´«Õæ: 010-62465844
Email: info@eco-tech.com.cn
ÓÑÇéÁ´½Ó£º
