º£ÑóÖ®Éñ590¹ÙÍøÈë¿Ú

¡ª Éú̬ ¡¤ ũҵ ¡¤ ¿µ½¡ ¡ª
ʵÑéÑо¿

º£ÑóÖ®Éñ590¹ÙÍøÈë¿Ú

 

º£ÑóÖ®Éñ590¹ÙÍøÈë¿ÚÉú̬¿µ½¡×¨Ìâ¿ìѶ¡ª¡ª

º£ÑóÖ®Éñ590¹ÙÍøÈë¿ÚÄÜÁ¿´úлÕÉÁ¿ÊÖÒÕÓ¦ÓÃÓÚÇéÐÎҽѧÑо¿

¿ËÈÕ£¬£¬£¬£¬£¬£¬£¬º£ÑóÖ®Éñ590¹ÙÍøÈë¿Ú¹¤³ÌʦÓëÖйú¾üÊÂҽѧ¿ÆÑ§ÔºÎÀÉúѧÇéÐÎҽѧÑо¿ËùÒ»Æð£¬£¬£¬£¬£¬£¬£¬¶Ô¹«Ë¾ÌṩµÄʵÑ鶯ÎïºôÎü´úлÕÉÁ¿ÏµÍ³¾ÙÐÐÁËʵÑé²âÊÔÅàѵ£¬£¬£¬£¬£¬£¬£¬¸Ãϵͳ¿ÉÒÔ¼à²âʵÑ鶯ÎïµÄºôÎüºÄÑõÁ¿¡¢¶þÑõ»¯Ì¼²úÁ¿£¬£¬£¬£¬£¬£¬£¬ºôÎüÉÌ¡¢ÄÜÁ¿ÏûºÄµÈ£¬£¬£¬£¬£¬£¬£¬ÖúÁ¦ÓÚÇéÐÎҽѧ¡¢ÓªÑøÓ뿵½¡¡¢ÊµÑ鶯ÎïÒ©ÀíѧÑо¿µÈ¡£¡£¡£¡£¡£¡£¡£

 1.jpg

ÕûÌ×ÒÇÆ÷×°±¸

2.png

¿É¶¨ÖÆÖÖÖÖ¶¯ÎïרÓúôÎüÊÒ

²Î¿¼°¸Àý

Mineo P M , Cassell E A , Roberts M E , et al. Chronic cold acclimation increases thermogenic capacity, non-shivering thermogenesis and muscle citrate synthase activity in both wild-type and brown adipose tissue deficient mice.[J]. Comparative Biochemistry & Physiology Part A Molecular & Integrative Physiology, 2012, 161(4):395-400.

¹Ç÷À¼¡µÄ²ü¶¶ÐÔ²úÈȺͺÖɫ֬·¾µÄ·Ç²ü¶¶ÐÔ²úÈÈ£¨NST£©Êǹ«ÈϵIJ¸È鶯ÎïÖ÷Òª²úÈÈÐÎʽ¡£¡£¡£¡£¡£¡£¡£±¾Ñо¿µÄÄ¿µÄÊÇʹÓÃÄÜÁ¿´úлÕÉÁ¿ÊÖÒÕ£¬£¬£¬£¬£¬£¬£¬ÕÉÁ¿UCP-dtaСÊó£¨Ò»ÖÖȱ·¦ºÖɫ֬·¾×éÖ¯µÄת»ùÒòСÊ󣩺ÍÕý³£Ð¡Êó£¨Ò°ÉúƷϵ£©£¬£¬£¬£¬£¬£¬£¬ÔÚÑϺ®£¨4¡æ£©ºÍÎÂů£¨23¡æ£©Ìõ¼þϵÄ×î´ó´úлÂÊ£¨V?O2summit£©ºÍÈ¥¼×ÉöÉÏÏÙËØÓÕµ¼BAT²úÈȶԶ¯Îï×ÜÌå²úÈÈÁ¿µÄТ˳£¨V?O2NST£©£¬£¬£¬£¬£¬£¬£¬È·¶¨ÂýÐÔÀä̻¶ÊÇ·ñ»áÔöÌíUCP-dtaСÊó¹Ç÷À¼¡µÄÓÐÑõ´úлÄÜÁ¦¡£¡£¡£¡£¡£¡£¡£Ð§¹ûÅú×¢£¬£¬£¬£¬£¬£¬£¬Àä̻¶¿ÉÒÔÔöÌíUCP-dtaСÊóºÍÕý³£Ð¡ÊóµÄÓÐÑõ´úлÄÜÁ¦£ºÎÞÂÛÊÇÑϺ®ÕÕ¾ÉÎÂůÌõ¼þÏ£¬£¬£¬£¬£¬£¬£¬UCP-dtaСÊóµÄV?O2summitºÍÈ¥¼×ÉöÉÏÏÙËØÓÕµ¼²úÈÈ£¨V?O2NST£©¾ùÏÔÖøµÍÓÚÒ°ÉúÐÍСÊ󣬣¬£¬£¬£¬£¬£¬µ«ÑϺ®Ìõ¼þÏÂÁ½Õß¾ù¸ßÓÚÎÂůÌõ¼þϵÄVO2summitºÍVO2NST£¬£¬£¬£¬£¬£¬£¬ÂýÐÔÀä̻¶ÊÇÒ»ÖÖÓÐÓõĸÉÔ¤²½·¥£¬£¬£¬£¬£¬£¬£¬¿ÉÒÔÇý¶¯Ð¡Êó·ÊÅÖÄ£×ÓÖеĹÇ÷À¼¡ÓÐÑõ´úлÁ¦¡£¡£¡£¡£¡£¡£¡£?

3.jpg

×óͼ£ºÑϺ®Ìõ¼þÏ£¨CA£©µÄºÄÑõÂÊVO2¾ù´óÓÚÎÂůÌõ¼þÏ£¨WA£©µÄºÄÑõÂÊ£¬£¬£¬£¬£¬£¬£¬Ò°ÉúÐÍСÊó×î´ó´úлÂʸßÓÚUCP-dtaСÊ󣻣»£»£»£»ÓÒͼ£ºÔÚÐÝϢʱ¡¢×¢ÉäÑÎË®ºÍ×¢ÉäÈ¥¼×ÉöÉÏÏÙËØºóµÄºÄÑõÂÊ,UCP-dtaСÊóºÍÒ°ÉúÐÍСÊóÑϺ®Ìõ¼þϺÄÑõÂÊVO2NSTÏÔÖø¸ßÓÚÎÂůÌõ¼þÏ¡£¡£¡£¡£¡£¡£¡£

Wanner S P , Almeida M C , Shimansky Y P , et al. Cold-Induced Thermogenesis and Inflammation-Associated Cold-Seeking Behavior Are Represented by Different Dorsomedial Hypothalamic Sites: A Three-Dimensional Functional Topography Study in Conscious Rats[J]. Journal of Neuroscience the Official Journal of the Society for Neuroscience, 2017.

È«ÉíÐÔÑ×Ö¢£¨Ò²±»³ÆÎªÂýÐÔÑ×Ö¢£©¸Ä±äÉî²ãÌåΣ¨Tb£©µ÷Àí·ºÆð·¢ÈÈ»òÌåιýµÍ£¬£¬£¬£¬£¬£¬£¬ÊÇסԺ»¼ÕßéæÃüµÄÖ÷ÒªÔµ¹ÊÔ­ÓÉ¡£¡£¡£¡£¡£¡£¡£ÔÚÄö³Ý¶¯ÎïÄ£×ÓÖУ¬£¬£¬£¬£¬£¬£¬ÎÞ¾úÈ«ÉíÑ×֢ͨ³£ÊÇÓɾ²Âö×¢Éäϸ¾úÖ¬¶àÌÇ£¨LPS£¬£¬£¬£¬£¬£¬£¬ÄÚ¶¾ËØ£©ÒýÆðµÄ£¬£¬£¬£¬£¬£¬£¬Õâ»áµ¼Ö·¢ÈÈ£¬£¬£¬£¬£¬£¬£¬ÌåιýµÍ£¬£¬£¬£¬£¬£¬£¬»òÈ¡¾öÓÚLPS¼ÁÁ¿ºÍÇéÐÎζȣ¨Ta)·ºÆðÁ½ÕßµÄÍŽᡣ¡£¡£¡£¡£¡£¡£µÍ¼ÁÁ¿µÄLPS£¬£¬£¬£¬£¬£¬£¬ÌØÊâÊÇÔÚÈÈÖлòÎÂůÇéÐÎÖÐʵÑéʱ£¬£¬£¬£¬£¬£¬£¬Í¨³£»£»£»£»£»áµ¼Ö·¢ÈÈ¡£¡£¡£¡£¡£¡£¡£½Ï¸ßµÄÓÕ·¢ÐÔLPS¼ÁÁ¿£¬£¬£¬£¬£¬£¬£¬ÓÈÆäÊÇÔÚÑÇÖУ¨À䣩ÇéÐÎÖÐʵÑéʱ£¬£¬£¬£¬£¬£¬£¬»áµ¼ÖÂÌåιýµÍ¡£¡£¡£¡£¡£¡£¡£LPSµÍεÄÁ½¸öÖ÷ҪЧӦ»úÖÆÊÇÒÖÖÆÈȱ¬·¢ºÍ×Ô¶¯Ñ°ÀäÐÐΪ£¬£¬£¬£¬£¬£¬£¬¶øÑ°ÀäÐÐΪÊÇÒ»ÖÖÔÚÑÏÖØÈ«ÉíÑ×Ö¢Öб¬·¢µÄÕü¾ÈÉúÃüµÄ·´Ó¦¡£¡£¡£¡£¡£¡£¡£

·¢ÈÈÓ뼤ÔêÐÐΪ¡¢¶¯Âö¸ßѪѹ¡¢ÐѾõºÍÍ´¾õ¹ýÃôÓйØ£¬£¬£¬£¬£¬£¬£¬¶øÌåιýµÍ·´Ó¦ÔòÓëÔ˶¯ÒÖÓô¡¢µÍѪѹ¡¢ÊÈ˯ºÍÕòÍ´Óйء£¡£¡£¡£¡£¡£¡£ÕâÁ½ÖÖ×ÛºÏÕ÷£¬£¬£¬£¬£¬£¬£¬»®·Ö½«ÔçÆÚºÍÍíÆÚ¼²²¡×ÛºÏÖ¢£¬£¬£¬£¬£¬£¬£¬¶ÔÓ¦ÓÚÇáºÍÑÏÖØÐÎʽµÄÈ«ÉíÑ×Ö¢¡£¡£¡£¡£¡£¡£¡£ËüÃÇ»¹´ú±íÑ×Ö¢»òѬȾÁ½ÖÖÀàÐ͵Ä˳Ӧ£ºÓ¦¼¤·´Ó¦£¨ÄÜÁ¿ÏûºÄ£©ºÍÒÖÓôÍËËõ£¨ÄÜÁ¿Öü´æ£©¡£¡£¡£¡£¡£¡£¡£ÌåιýµÍÊÇÍíÆÚ¼²²¡×ÛºÏÖ¢µÄ½¹µãÖ¢×´¡£¡£¡£¡£¡£¡£¡£µ±ÀÏÊó±»ÔÊÐíѰÕÒËûÃÇϲ»¶µÄTaÒÔïÔÌ­ÆäTb »òµ±ËüÃDZ»·ÅÔڽϵ͵ÄTaÇéÐνµÎ£¬£¬£¬£¬£¬£¬£¬ÑÏÖØÈ«ÉíÑ×Ö¢µÄËûÃÇ´æ»îÂʼ±¾çÉÏÉý¡£¡£¡£¡£¡£¡£¡£

±¾Ñо¿ÖÐʹÓÃSSIʵÑ鶯ÎïºôÎü´úлϵͳÑо¿´óÊóµÄ·¢ÈÈÇéÐΣ¬£¬£¬£¬£¬£¬£¬VO2±»ÓÃ×÷·¢ÈÈÖ¸Êý£¬£¬£¬£¬£¬£¬£¬ÅÌËãÒªÁìΪVO2=[Flow* (FO2in ? FO2out)]/(1 ? [(1 ? RQ) ¡Á FO2in])/BW,ÆäÖкôÎüÉÌRQ±»ÒÔΪÊÇ0.71, FO2inΪ½øÆøÑõÆøÅ¨¶È£¬£¬£¬£¬£¬£¬£¬FO2outΪºôÎüÊÒ³ö¿ÚÑõÆøÅ¨¶È£¬£¬£¬£¬£¬£¬£¬BWΪ¶¯ÎïÌåÖØ¡£¡£¡£¡£¡£¡£¡£Ð§¹ûÅú×¢£¬£¬£¬£¬£¬£¬£¬Çý¶¯Èȱ¬·¢×÷ÓõÄÏÂÇðÄÔ±³²àÇø£¨DA£©Éñ¾­Ôª²»¼ÓÈëLPSÓÕ·¢µÄѰÀ䣬£¬£¬£¬£¬£¬£¬ÔÚÈ«ÉíÑ×Ö¢ÖÐ×·ÇóÀ䯸µÄÐÐΪȡ¾öÓÚÒ»¸ö²î±ðµÄ¡¢ÒÔǰδ֪µÄÉñ¾­Ôª×é¡£¡£¡£¡£¡£¡£¡£

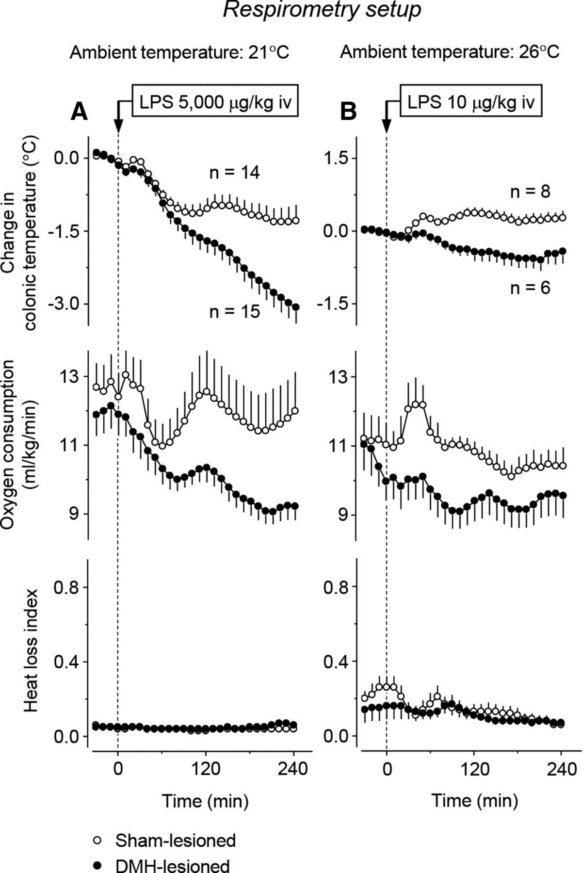
4.jpg

ÔÚºôÎü´úлÕÉÁ¿ÖУ¬£¬£¬£¬£¬£¬£¬ÏÂÇðÄÔ±³ÄÚ²àÊÜËðÉË£¨DMH-lesioned£©ºÍ¼Ù²¡±ä(Sham-lesioned)´óÊó¶ÔLPSµÄÈȱ¬·¢Ä£Ê½·´Ó¦£ºDMH-²¡±ä´óÊóµÄÈȱ¬·¢Ë®Æ½Ê¼ÖÕµÍÓÚ¼Ù²¡±ä´óÊó

º£ÑóÖ®Éñ590¹ÙÍøÈë¿ÚÉú̬ÊÖÒÕ¹«Ë¾ÌṩÄÜÁ¿´úлÕÉÁ¿ÖÜÈ«½â¾ö¼Æ»®£º

1)¹ûÓ¬ÄÜÁ¿´úлÕÉÁ¿

2)°ßÂíÓãÄÜÁ¿´úлÕÉÁ¿

3)¾ÞϸÊóÄÜÁ¿´úлÕÉÁ¿

4)¼ÒÐó¼ÒÇÝÄÜÁ¿´úлÕÉÁ¿

5)ÆäËü¶¯ÎïÄÜÁ¿´úлÕÉÁ¿

6)ÈËÀàÄÜÁ¿´úлÕÉÁ¿

 

ÍøÕ¾µØÍ¼
¿´²»Ç壿£¿£¿£¿£¿
»»Ò»ÕÅ
{{loading?'ÁôÑÔÖÐ':'ÁôÑÔ'}}
¿´²»Ç壿£¿£¿£¿£¿»»Ò»ÕÅ
{{isLoading?'ÉúÑÄÖÐ':'ÉúÑÄ'}}
Ê×Ò³| º£ÑóÖ®Éñhy590×îйٷ½ÍøÕ¾

Î÷°²Ñз¢ÖÐÐÄ

΢ÐŹ«ÖÚºÅ

Ê×Ò³| º£ÑóÖ®Éñhy590×îйٷ½ÍøÕ¾

ÓªÒµ×Éѯ

΢ÐźÅ

Ê×Ò³| º£ÑóÖ®Éñhy590×îйٷ½ÍøÕ¾

º£ÑóÖ®Éñ590¹ÙÍøÈë¿Ú¹«Ë¾

΢ÐŹ«ÖÚºÅ

Ê×Ò³| º£ÑóÖ®Éñhy590×îйٷ½ÍøÕ¾

º£ÑóÖ®Éñ590¹ÙÍøÈë¿Ú¹«Ë¾

ÊÓÆµºÅ

ÁªÏµº£ÑóÖ®Éñ590¹ÙÍøÈë¿Ú£º

µØÖ·: ±±¾©Êк£µíÇø¸ßÀïÕÆÂ·3ºÅÔº6ºÅÂ¥1µ¥Î»101B

µç»°: 010-82611269/1572

ÊÖ»ú: 13671083121

´«Õæ: 010-62465844

Email: info@eco-tech.com.cn

ÓÑÇéÁ´½Ó£º

X
1

QQÉèÖÃ

  • ¿Í·þ
5

µç»°ºÅÂë¹ÜÀí

  • ±±¾© 010-82611269 13671083121
6

¶þάÂë¹ÜÀí

Ê×Ò³| º£ÑóÖ®Éñhy590×îйٷ½ÍøÕ¾
ÍøÕ¾µØÍ¼